Metsien uudistuminen suojametsäalueella ja Pohjois-Suomen korkeilla alueilla 2010-luvulla
Miettinen J., Korhonen K. T., Jalkanen R., Rautio P. (2025). Metsien uudistuminen suojametsäalueella ja Pohjois-Suomen korkeilla alueilla 2010-luvulla. Metsätieteen aikakauskirja vuosikerta 2025 artikkeli 24009. https://doi.org/10.14214/ma.24009
Tiivistelmä
Suojametsäalueella metsää tulee valtioneuvoston säädösten mukaan hoitaa ja käyttää erityistä varovaisuutta noudattaen ja siten, ettei toimenpiteillä aiheuteta metsänrajan alenemista. Tässä artikkelissa esitetään tiivistelmä aiempien suojametsäaluetta koskevien selvitysten tuloksista, tarkastellaan metsätaloustoimintaa suojametsäalueilla ja Pohjois-Suomen korkeilla alueilla sekä Metsäkeskuksen aineistojen että valtakunnan metsien inventoinnin (VMI) aineistojen perusteella, alueella tehtyä metsänuudistamis- ja metsätuhotutkimusta sekä ilmastotrendejä ja niiden vaikutuksia metsän uudistumiseen suojametsäalueilla. Suojametsäalueen ja Pohjois-Suomen korkeiden alueiden metsän uudistumistulokset ovat Suomen metsäkeskuksen vuosien 2015–2020 tarkastusaineiston perusteella hyviä; virheelliseksi luokiteltuja kohteita on näissä luokissa vain 7 % suojametsäalueella ja 12 % Pohjois-Suomen korkeilla alueilla. VMI-tulosten valossa suojametsäalueen metsät ovat taimettuneet paremmin kuin vuosikymmen aikaisemmin: 2020-luvun taitteen VMI13-aineistossa vain noin 12 % tuoreista uudistusaloista alitti taimikoiden kasvatettavan puuston vähimmäisrajan 1200 r/ha, kun VMI11-aineistossa vastaava luku oli yli kolminkertainen. Myös pituuskehityksen ja metsänhoidollisen laadun kohdalla suojametsäalueen metsiköt ovat samalla tai hieman paremmalla tasolla kuin aiemmin. Suojametsäalueen havupuutaimikoissa ei ole 2010-luvulla havaittu samankaltaisia luonnontuhoja kuin tunturimittarin tunturikoivikoissa 1960-luvulla aiheuttamat laajat metsäkuolemat. Myöskään ilmasto-oloissa ei ole havaittavissa äärevyyden lisääntymistä. Metsänuudistamistutkimusten tulosten perusteella maanmuokkauksen tarpeellisuutta on edelleen tarpeen korostaa suojametsäalueella. Myös maanmuokkauksen ja hyvien siemenvuosien välinen yhteys on tärkeää riittävän taimiaineksen saavuttamiseksi. Toisaalta metsänhoitosuositusten mukaiseen taimikon tavoitetiheyteen esimerkiksi kuivahkojen kankaiden kohdalla päästään jo sillä, että harvennetaan puusto harvaksi tai tehdään maankäsittely. Kokonaisuutena metsien uudistuminen suojametsäalueella on 2010-luvulla onnistunut pääasiassa hyvin. Keinollisten ja luontaisten uudistamismenetelmien yhdistelmän käyttö on edelleenkin perusteltua suojametsäalueella ja Pohjois-Suomen korkeilla alueilla, sillä olosuhteet alueella ovat edelleenkin äärevät ja uudistumistuloksiin liittyy aina epävarmuutta. Mitään erityisiä uhkatekijöitä ei tällä hetkellä ole näköpiirissä, mutta seuranta on jatkossakin tarpeen etenkin tautien ja tuholaisten varalta.
Avainsanat
Valtakunnan metsien inventointi;
metsänuudistaminen;
Pohjois-Suomi;
taimikot;
metsien tila;
metsänrajametsät
https://orcid.org/0000-0002-5985-0806
Sähköposti
janne.miettinen@luke.fi
https://orcid.org/0000-0002-6198-853X
Sähköposti
kari.t.korhonen@luke.fi
https://orcid.org/0000-0002-8189-2295
Sähköposti
ristjal@gmail.com
https://orcid.org/0000-0003-0559-7531
Sähköposti
pasi.rautio@luke.fi
Vastaanotettu 2.5.2024 Hyväksytty 18.11.2025 Julkaistu 31.12.2025
Katselukerrat 9604
Saatavilla https://doi.org/10.14214/ma.24009 | Lataa PDF
Supplementary Files
Valtioneuvosto voi metsälain (Metsälaki 1996) mukaan määrätä suojametsäalueiksi alueet, joilla metsän säilyminen on tarpeen metsänrajan alenemisen estämiseksi. Suojametsäalueeseen kuuluvat Utsjoen ja Enontekiön kunnat sekä osia Inarin, Kittilän, Kolarin, Muonion, Sodankylän, Savukosken ja Sallan kunnista. Alueet on merkitty maanmittaustoimituksessa maastoon (Valtioneuvoston… 1998). Suojametsäalueen metsien lisäksi erityisen seurannan piiriin kuuluvat Lapin, Pohjois-Pohjanmaan ja Kainuun maakuntien alueilla sijaitsevien korkeiden alueiden metsät (Kuva 1).

Kuva 1. Suojametsäalueet (vihreä) sekä Lapin, Pohjois-Pohjanmaan ja Kainuun maakuntien alueilla sijaitsevat korkeiden alueiden (yli 250 mpy) metsät. Korkeiden alueiden metsät on eroteltu sen mukaan, sijaitsevatko ne suojelualueilla (tumman ruskea) vai talousmetsissä (vaalean ruskea).
Suojametsäalueella metsää tulee säädösten mukaan hoitaa ja käyttää erityistä varovaisuutta noudattaen ja siten, ettei toimenpiteillä aiheuteta metsänrajan alenemista. Toimenpiteiden tulee perustua hakkuu- ja uudistamissuunnitelmaan. Uudistaminen voi perustua luontaiseen uudistamiseen, kylvöön, istutukseen tai niiden yhdistelmään. Tavoitteena on käyttää luontaista uudistamista aina, kun siihen on edellytyksiä. Suojametsäalueella kylväen tai istuttaen tapahtuvassa uudistamisessa tulee välttää laajoja yhtenäisiä uudistusalueita (Valtioneuvoston… 1998).
Suojametsäalueen metsien ja pohjoisten maakuntien korkeiden alueiden uudistumisen seuranta on asetettu Luonnonvarakeskuksen tehtäväksi. Metsäkeskus on velvollinen avustamaan tämän seurannan toteuttamisessa. Luonnonvarakeskuksen on toimitettava selvitys metsien uudistumisen tuloksesta metsätalousasioissa toimivaltaiselle ministeriölle ja metsäkeskukselle kymmenen vuoden välein. Aiemmat selvitykset on toimitettu Metsäntutkimuslaitoksessa vuosina 2001 ja 2012.
Ensimmäisen suojametsäalueiden metsien uudistumisen selvityksen (Varmola ym. 2001, 2004) ja siihen liittyvien julkaisujen mukaan merkittävimpiä uudistumista sääteleviä tekijöitä olivat uudistumisen edellytyksiä määrittelevät kesän lämpöolosuhteita kuvaava lämpösumma sekä taimikuolleisuutta määrittelevät talviset ja keväiset olosuhteet (Varmola ym. 2001; Hyppönen ym. 2003; Varmola ym. 2004). Luontainen uudistaminen oli ensimmäisen selvityksen mukaan onnistunut alueella edellisen kymmenen vuoden aikana vähintäänkin kohtuullisesti ottaen huomioon alueen erityispiirteet, joskin vakiintuneen taimikon aikaansaaminen kestää suojametsäalueella pitkään. Kirjoittajien mukaan maanmuokkaus parantaa merkittävästi uudistamistulosta niin suojametsäalueella kuin etelämpänäkin Lapissa (Varmola ym. 2001).
Toisen selvityksen (Hyppönen ym. 2012a, 2012b) mukaan ilmasto oli edellisen vuosikymmenen aikana ollut metsänuudistamiselle suotuisa ja lämpöolosuhteiden äärevyys tasoittunut. Sen seurauksena taimettuminen oli onnistunut vähintäänkin tyydyttävästi ja taimikuolleisuus pysynyt alhaisena. Metsänuudistuminen oli onnistunut ilmastollisesti ankarimmillakin alueilla, joskin siellä taimettuminen oli kestänyt kauemmin ja alkukehitys oli ollut hitaampaa (Hyppönen ym. 2012a). Metsätuhot eivät Hyppösen ym. (2012a, 2012b) mukaan ole vuosituhannen alun jälkeen merkittävästi vaikuttaneet havumetsien menestymiseen suojametsäalueella. Tekijät toivat kuitenkin esiin huolensa mahdollisesti kasvavista metsätuhoista, joita alueelle voi olla odotettavissa ilmastonmuutoksen myötä tuhosienten ja -hyönteisten levittäytyessä pohjoisemmaksi.
Tässä artikkelissa raportoidaan kolmatta kertaa metsien uudistumisesta suojametsäalueella ja sen eteläpuolisilla Pohjois-Suomen korkeilla alueilla. Tarkastelemme metsätaloustoimintaa suojametsäalueilla sekä Metsäkeskuksen tarkastus- että VMI-aineistojen avulla, alueella tehtyä metsänuudistamis- ja metsätuhotutkimusta sekä ilmastotrendejä ja niiden vaikutuksia metsän uudistumiseen suojametsäalueilla. Lopuksi tehdään johtopäätökset metsien uudistumisesta suojametsäalueilla ja Pohjois-Suomen korkeilla alueilla. Vertailukohtana käytämme aiempien selvitysten tuloksia, päätelmiä ja esityksiä (Varmola ym. 2001; Hyppönen ym. 2012a).
Tämän tarkastelun keskeisimmät aineistot ovat Suomen Metsäkeskuksen (jatkossa Metsäkeskus) tarkastusaineistot ja valtakunnan metsien inventoinnin (VMI) tulokset. Lisäksi hyödynnetään aiemmin tehdyn metsänuudistamistutkimuksen tuloksia suojametsäalueelta ja sen läheisyydestä, metsätuhotutkimusta sekä ilmastoon liittyvien seurantojen tuloksia.
Metsäkeskus toteuttaa metsien uudistumiseen liittyvää seurantaa koko Suomessa. Hyödynsimme tarkastelussamme seurannan tuloksia sekä suojametsäalueella että Pohjois-Suomen korkeilla alueilla vuosilta 2015–2020. Vertailukohtana käytimme koko Pohjois-Suomen seurannan tuloksia.
Metsäkeskuksen tietokannan mukaan suojametsäalueen metsiä on hieman yli 3,3 milj. ha (Taulukko 1). Metsänkäyttöilmoitusten mukaan näillä on tehty uudistusluonteinen hakkuu yhteensä noin 17 000 ha:n alalla vuosien 2011–2020 aikana. Pohjois-Suomen korkeita alueita (yli 250 m mpy) tietokannassa on noin 2,1 milj. ha. Näillä uudistusluonteisia hakkuita oli hieman alle 85 000 ha vuosina 2011–2020. Suojametsäalueella ja Pohjois-Suomen korkeilla alueilla käytettiin vuosien 2015–2020 tarkastusaineistoja, joita verrattiin koko Lapin, Kainuun ja Pohjois-Pohjanmaan alueen tarkastusaineistoon.
| Taulukko 1. Suojametsäalueen ja Pohjois-Suomen korkeiden alueiden määrät, niillä vuosina 2011–2020 tehtyjen uudistamisluonteisten hakkuiden määrät, Suomen metsäkeskuksen vuosina 2015–2020 tarkastamien kohteiden määrät sekä tarkastusten tulokset. Kolmannessa sarakkeessa vertailukohtana koko Pohjois-Suomen (Lapin, Kainuun ja Pohjois-Pohjanmaan maakunnat) uudistumisen tarkastusten tulokset vastaavalta ajanjaksolta. | |||
| Suojametsäalue | Korkeat alueet | Pohjois-Suomi | |
| Kokonaisala (ha) | 3 327 956 | 2 120 224 | |
| Hakkuut 2011–2020 (ha) | 16 923 | 84 603 | |
| Tarkastettu 2015–2020 (ha) | 91 | 748 | 3622 |
| Tulokset (%) | |||
| Hyvä | 81 | 73 | 66 |
| Huomautettavaa | 12 | 15 | 19 |
| Virheellinen | 7 | 12 | 12 |
| Tieto puuttuu | – | – | 3 |
Vuosien 2015–2020 aikana suojametsäalueen uudistusluonteisista hakkuista on tarkastettu yhteensä 91 hehtaaria ja korkeiden alueiden hakkuista 748 ha. Koko Lapin, Kainuun ja Pohjois-Pohjanmaan alueella tarkastettuja kohteita oli 3622 ha. Tarkastuksien perusteella kohteet oli luokiteltu hyviksi, huomautettaviksi tai virheellisiksi. Huomautettaviksi tai virheellisiksi arvioiduista kohteista oli kirjattu myös puutteellisuuden pääasiallinen syy, joka voi olla taimimäärän vähäisyys tai joku puute tai virhe uudistamistoimissa.
Valtakunnan metsien inventointi tuottaa kattavia ja vertailukelpoisia tuloksia koko Suomen alueelta (mm. Korhonen 2009; Tomppo ym. 2014; Korhonen ym. 2021). Inventoinnit toistuvat viiden vuoden kierrolla. Tässä tarkastelussa hyödynsimme sekä 2020-luvun taitteeseen ajoittuvaa VMI13-aineistoa että kymmentä vuotta aiemmin koostettua VMI11-aineistoa. Tarkasteluja tehtiin sekä suojametsäalueen että koko Lapin aineistoille. Taimikoiden rakennetta kuvaavista muuttujista tarkastelimme runkolukua, pituuskehitystä ja metsikön metsänhoidollista laatua. Lisäksi tarkastelimme metsikön metsänhoidollista laatua iältään erilaisissa viljelytaimikoissa. Runkolukujen tarkastelussa vertasimme tuloksia metsänhoidon suositusten tyydyttävän taimikon raja-arvoon 1200 r/ha (Äijälä ym. 2019) sekä testasimme runkolukujen jakaumia. Otokset eivät ole toisistaan riippumattomia, koska samoja taimikoita on molemmissa aineistoissa, eivätkä runkolukujen jakaumat noudattaneet normaalijakaumaa, joten käytimme keskiarvojen testaamiseen ei-parametristä Wilcoxonin merkkitestiä. Pituuskehityksen kuvaamiseen käytimme lineaarista regressiota.
Metsänuudistamis- ja metsätuhotutkimusta tarkastelimme suojametsäalueelta ja sen läheisyydestä. llmastotrendejä ja niiden vaikutuksia metsän uudistumiseen tarkastelimme ilmatieteen laitoksen seurantatietoja hyödyntäen.
Suojametsäalueella 2015–2020 tarkastetuista 91 hehtaarista hyviksi oli arvioitu 74 hehtaaria (81 % tarkastetusta alasta), huomautettaviksi 11 hehtaaria (12 %) ja virheellisiksi 6 hehtaaria (7 %, Taulukko 1). Yhdelläkään kohteella ainakaan pääasialliseksi syyksi ei oltu kirjattu taimimäärän vähäisyyttä. Pohjois-Suomen korkeiden alueiden uudistusluonteisista hakkuista aikavälillä tarkastettiin noin 748 hehtaaria, joista hyviksi arvioitiin 546 hehtaaria (73 % tarkastetusta alasta), huomautettaviksi 115 hehtaaria (15 %) ja virheellisiksi 87 hehtaaria (12 %).
Koko Lapin, Kainuun ja Pohjois-Pohjanmaan alueen uudistumisen tarkastuksia oli tehty 3622 hehtaarilla. Niistä hyviksi oli arvioitu 2391 ha (66 %), huomautettaviksi 684 ha (19 %) ja virheellisiksi 418 ha (12 %). Arvostelutieto puuttui 118 ha (3 %) alalta. Valtaosalla kohteista, joilta arvostelutieto puuttui, oli hakkuu kesken tai aloittamatta.
Verrattaessa suojametsäalueen ja korkeiden alueiden tarkastusten tuloksia koko Lapin, Kainuun ja Pohjois-Pohjanmaan alueen tuloksiin, nähdään uudistumisen tulosten olleen jopa yhtä hyviä tai parempia suojametsäalueella ja Pohjois-Suomen korkeilla alueilla kuin koko Pohjois-Suomen alueella keskimäärin.
Valtakunnan metsien inventoinnin aineistojen mukaan suojametsäalueella taimikoiden kasvatettavan puuston runkoluvun keskiarvo oli 2020-luvun vaihteen VMI13-aineistossa 2264 r/ha (VMI13-aineisto, 2019–2022, n = 44, Kuva 2) ja 2010-luvun vaihteen VMI11-aineistossa 1536 r/ha (VMI11-aineisto, 2009–2013, n = 69). Koko Lapissa vastaavat luvut olivat VMI13-aineistossa 1840 r/ha (n = 1968) ja VMI11-aineistossa 2025 r/ha (n = 2623). Metsänhoidon suosituksissa havupuuvaltaisten taimikoiden lakisääteinen vähimmäistiheys on pohjoisessa Suomessa 1200 tainta hehtaarilla (Äijälä ym. 2019, s. 82), jonka alittavia taimikoita oli VMI13-aineistossa suojametsäalueella 11,6 % ja VMI11-aineistossa 37,7 %. Koko Lapissa vähimmäistiheyden alitti VMI13-aineistossa 17,4 % ja VMI11-aineistossa 16,3 % koealoista. Sekä suojametsäalueen että koko Lapin aineistojen ei-parametrisen Wilcoxonin testien tulokset osoittivat, että runkolukujen jakaumat poikkeavat toisistaan VMI11:n ja VMI13:n aineistoissa (VMI11 vs. VMI13 suojametsäalueella: standardoitu testisuure = 3,551, p < 0,001; koko Lapissa: standardoitu testisuure = 5,849, p < 0,001).

Kuva 2. Kasvatettavan puuston runkoluku taimikon ikäluokittain suojametsäalueella (vasen sarake) ja koko Lapissa (= Lapin maakunnassa, oikea sarake). Ylärivissä tulokset 2020-luvun vaihteen aikaa kuvaavassa VMI13-aineistossa. Alarivissä vastaavat tulokset vertailukautena toimivassa 10 vuotta aiemmin kerätyssä VMI11-aineistossa. Kuviin lisätty metsänhoidon suositusten mukainen tyydyttävän uudistamistuloksen raja kohdalle 1200 r/ha.
Suojametsäalueen puuston keskimääräinen pituuskehitys oli jotakuinkin samanlaista VMI11- ja VMI13-aineistoissa. Sen sijaan koko Lapin VMI13-aineistossa puuston pituuskehitys näyttäisi olleen nopeampaa kuin VMI11-aineistossa, mikä näkyy aineistossa VMI13:n regressiosuoran suurempana kulmakertoimena (Kuva 3).

Kuva 3. Kasvatettavan puuston pituus iän mukaan koealoilla VMI13- ja VMI11-aineistoissa suojametsäalueella (ylärivi) sekä koko Lapissa (alarivi). Aineistoon sovitettu regressiosuorat kuvaamaan keskimääräistä pituuden kehitystä. Regressioyhtälöt kuvan selitteissä. Aineisto rajattu iältään enintään 30-vuotiaisiin puustoihin.
Sekä suojametsäalueella että koko Lapissa metsikön laatu painottuu 2020-luvun vaihteen VMI13-aineistossa luokkiin 2 (tyydyttävä) ja 1 (hyvä), mutta 2010-luvun taitteen VMI11-aineistossa metsikön laatu painottuu näihin luokkiin vain koko Lapin aineistossa (Kuva 4). Suojametsäalueella VMI11 aineiston arvot painottuvat luokkiin 3 (välttävä) ja 2 (tyydyttävä), mikä viittaa siihen, että taimikoiden laatu olisi parantunut suojametsäalueella viimeisen 10-vuoden aikana. Molempina ajanjaksoina koko Lapin aineisto painottuu suojametsäalueen VMI13-aineiston tavoin korkeimpiin laatuluokkiin 2 ja 1.

Kuva 4. Metsikön laatu VMI13-aineistossa suojametsäalueen taimikoissa (ylärivissä vasemmalla) ja koko Lapissa (ylärivissä oikealla). Alarivissä vastaavat tulokset vertailukautena toimivassa VMI11-aineistossa suojametsäalueella ja koko Lapissa. Metsikön laatuluokat: 1) hyvä, 2) tyydyttävä, 3) välttävä ja 4) vajaatuottoinen.
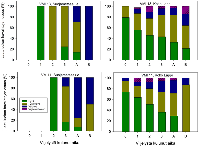
Viljellen perustettujen metsiköiden laatu viljelystä kuluneen ajan mukaan jaoteltuna poikkesi suojametsäalueella VMI13-aineistossa VMI11-aineiston vastaavista tuloksista kun viljelystä oli kulunut 6–30 vuotta (Kuva 5: luokat 3 ja A). Pääosin 6–30 vuotiaat metsät ovat olleen VMI13:ssa paremmassa kunnossa kuin VMI11:ssa. VMI13:ssa yli 30 vuotiaiden (Kuva 5: luokka B) metsien välttävä kunto johtuu osittain VMI11-aineiston huonokuntoisten 11–30 vuotiaiden (luokka A) metsien varttumisesta. Koko Lapin aineistoissa ei ollut havaittavissa merkittäviä eroja VMI11- ja VMI13-aineistojen välillä.

Kuva 5. Ylärivissä viljellen perustettujen metsiköiden laatu VMI13-aineistoissa suojametsäalueella (vasemmalla) ja koko Lapissa (oikealla) viljelystä kuluneen ajan mukaan jaoteltuna. Alarivissä vastaavat tulokset vertailukautena toimivassa VMI11-aineistossa suojametsäalueella (vasemmalla) ja koko Lapissa (oikealla). Metsikön laatuluokat: 1) hyvä, 2) tyydyttävä, 3) välttävä ja 4) vajaatuottoinen. Viljelystä kulunut aika: 0) Arviointivuosi, 1) Edellinen vuosi, 2) 2–5 vuotta, 3) 6–10 vuotta, A) 11–30 vuotta ja B) yli 30 vuotta.
Suojametsäalueen läheisyydessä Luonnonvarakeskus teki 2010-luvulla väljennyshakkuu-, pienaukko- ja kylvöajankohtakokeita. Näistä väljennyshakkuukoe tehtiin 2004–2017 välisenä aikana Pohjois-, Länsi-, Itä- ja Etelä-Lapissa (Hallikainen ym. 2020b, Rautio ym. 2023). Siinä kartoitettiin eri voimakkuudella harvennettuja männiköitä. Osa käsittelyistä sisälsi myös äestyksen maankäsittelynä. Aineisto mitattiin seitsemän kertaa ja mittauskerrat 5–7 ajoittuvat 2010-luvun puolelle. Uudistuminen on ylittänyt metsälaissa suojametsäalueelle asetetun taimikon minimitiheyden 1200 kpl/ha 2010-luvulla myös kontrollimetsiköissä (Hallikainen ym. 2020b, Kuva 6). Harventamattomissa kontrollimetsiköissä taimet eivät ole kasvaneet keskimäärin ollenkaan (Kuva 7) ja metsätaloudellisesti taimien kehittyminen vaatisi harventamisen. Harvennetuissa metsissä, joissa on tehty äestys, sekä taimettuminen että taimien kasvu ovat kuitenkin olleet hyvällä tasolla. Tulosten mukaan Lapissa kuivahkojen kankaiden männiköt uudistuvat luontaisesti riittävän hyvin, jotta metsälain vaatimat vähimmäisrajat saavutetaan. Väljennyshakkuukokeen tulokset osoittavat, että jos tavoitellaan metsänhoitosuositusten mukaista taimikon tavoitetiheyttä korkealaatuisen tukkipuun takaamiseksi, siihen päästään harventamalla puusto tarpeeksi harvaksi ja/tai tekemällä maankäsittely.

Kuva 6. Männyn taimien määrän kehitys tutkimusjakson (seitsemän inventointia) aikana eri käsittelyissä. Inventoinnit 5–7 on tehty 2010-luvulla. Kontrolli tarkoittaa alkuperäistä harventamatonta puustoa ja luvut 250, 150 ja 50 puuston runkolukua (kpl/ha). Lyhenne EK tarkoittaa käsittelemätöntä maapohjaa ja K käsiteltyä (äestettyä) maapohjaa. Kuvan lähde: Hallikainen ym. (2020b).

Kuva 7. Taimikoealan männyn taimien keskipituuden kehitys taimien keski-iän suhteen käsittelyittäin. Lyhenne EK tarkoittaa käsittelemätöntä maapohjaa ja K äestettyä maapohjaa. Kuvan lähde: Hallikainen ym. (2020b).
Pienaukkokoe tehtiin 2010–2015 Keski-Lapissa, ja siinä hakattiin halkaisijaltaan 20, 40 ja 80 metrin kokoisia pienaukkoja kasvupaikkatyypiltään kuiviin tai kuivahkoihin metsiin (Hallikainen ym. 2019, 2020a). Männyn taimia syntyi aukoille ensimmäisen 5 vuoden aikana keskimäärin 22 000 kpl/ha (Hallikainen ym. 2019) ja 10 vuoden jälkeen keskimääräinen taimimäärä oli 29 000 kpl/ha (Miettinen ym. 2024). Tiheys pieneni siirryttäessä pienemmiltä pienaukoilta isommille, mutta myös halkaisijaltaan 80 metrin aukoilla taimia oli yli 23 000 kpl/ha. Taimettomien koealojen osuus oli muokatuilla alueilla vain n. 2 %. Ilman maanmuokkausta ja jos koeala oli sammalten peitossa, taimettomien koealojen osuus oli selvästi korkeampi (noin puolet koealoista) ja keskimääräinen taimimäärä jäi alle 1500 taimeen hehtaarilla. Tulokset osoittivat, että myös suurimmalla tutkitulla aukolla (halkaisija 80 m, pinta-ala n. 0,5 ha) taimitiheys riittää täyttämään metsälaissa asetetut vähimmäisvaatimukset moninkertaisesti. Tulokset osoittivat myös, että taimien pituuskasvu oli selvästi parempaa halkaisijaltaan 40 ja 80 metrin pienaukoilla kuin 20 metrin pienaukoilla. Tulokset vahvistavat myös sen, että maanmuokkaus on useissa tapauksissa tarpeen (esim. Rautio ym. 2023), mutta toisaalta jo suhteellisen pienialainen maanpinnan paljastus varmistaa riittävän taimettumisen.
Edellisten tutkimusten lisäksi Sodankylän Ruonivaarassa on tehty 5-vuotinen (2013–2017) kylvöajankohtakoe, jossa on tutkittu eri ajankohtina (kesä–marraskuu) kylvettyjen paikallisten männynsiementen sekä käsittelemättömien ja käsiteltyjen kontortamännynsiementen itävyyttä ja taimien selviämistä. Tutkimuksen tuloksia ei ole vielä julkaistu, mutta alustavien tulosten mukaan perinteisen kevätkylvön ohella myös syyskylvö (syyskusta marraskuulle) onnistuu hyvin (Hyppönen ja Hallikainen 2011).
Tutkimusten tulokset viittaavat metsänuudistumisen onnistuvan Lapissa suojametsäalueella ja sen läheisyydessä nykyisin hyvin, mikäli valitaan kasvupaikalle sopivat uudistamistoimenpiteet. Suojametsäalueella äärevät kasvuolosuhteet voivat aiheuttaa edelleenkin suurta vaihtelua uudistumistuloksissa (Hallikainen ym. 2004). Tutkimustulosten yleistettävyyden suhteen on huomattava, että käytettävissä olevat aineistot kattavat vain osia suojametsäalueesta (Taulukko 1). Varmuusperiaatteen noudattaminen on suojametsäalueella edelleenkin tarpeen.
Suojametsäalueella ja Pohjois-Suomen korkeilla alueilla kylmät ja äärevät olosuhteet ehkäisevät monien taudinaiheuttajien ja tuholaisten esiintymistä. Toisaalta äärevät olosuhteet myös luovat mahdollisuuksia joillekin taudinaiheuttajille, sillä metsän uudistuminen ja alkukehitys on hidasta. Taimien kasvun ollessa hidasta (mm. Hyppönen ym. 2005; Hallikainen ym. 2007) erityisesti lakimaiden viljelytaimikot näyttävät kohtaavan surmakkasienen (Gremmeniella abietina) aiheuttaman versosurmaepidemian ainakin kerran ennen kuin ne saavuttavat 1–2 metrin pituuden (Jalkanen 1989). Männynversosurma ja talvihomeet (mm. Phacidium infestans) ovat tavanomaisia ja perinteisiä männyn taimien tuhoajia kaikkialla suojametsäalueella ja korkeilla mailla riippumatta siitä, ovatko taimet luontaisia tai viljeltyjä. Lumiset talvet, etenkin jos lumipeitteen sulaminen viivästyy, mahdollistaa merkittäviä männyntalvihometuhoja. Versosurma on ollut merkittävä tuhonaiheuttaja suojametsäalueella 1960-, 1980- ja 1990-luvulla (Jalkanen 2003). 2010-luvulla talvet 2018–2019 ja 2019–2020 olivat pohjoisessa hyvin paksulumisia, jolloin erityisesti sulan maan vallitessa sienituhot ovat paikoin olleet todella merkittäviä (R. Jalkanen, henkilökohtainen havainto, 28.2.2022).
Pohjoisen taimitarhoilla oli ankara männynversosurmaepidemia kesällä 2020. Taimet olivat saaneet tartunnat syksyllä 2019. Sama ilmiö näkyi myös varttuneissa puustoissa ainakin itäisessä Lapissa kesällä 2020. On mahdollista, että surmakkasieni on tartuttanut myös luonnontaimia ja hiljan viljeltyjä taimia maastossa, vaikkakaan tästä ei ole tutkimustietoa. Suuret viljelymateriaalin menetykset taimitarhoilla heikensivät merkittävästi männyn taimien saatavuutta kesän 2020 viljelyihin, mikä heijastui uudistamisen rästeinä myös kesälle 2021 ja 2022 (R. Jalkanen, henkilökohtainen tiedonanto, 28.2.2022).
Tervasrosoa (Cronartium flaccidum ja Peridermium pini) on esiintynyt suojametsäalueen eteläpuolisessa Lapissa, ja se on yksi merkittävimmistä seurattavista taudinaiheuttajista. Pahimmillaan se tartuttaa jo nuoria taimikoita (Jalkanen 2018), joten seuranta ja nopeat toimenpiteet voivat olla tarpeen sen kurissapitämiseksi. Tervasroson leviämisen estämiseksi on kuitenkin olemassa kohtalaisen hyvin toimivia menetelmiä. Sen tartuttamista metsiköistä voidaan poistaa sairastuneet puuyksilöt, ja ennaltaehkäisyssä voidaan käyttää sekametsäisyyttä sekä kuusen suosimista männyn tilalla (Niemelä 2016).
Muista taudinaiheuttajista männynharmaakaristeen (Lophodermella sulcigena) ja männynversoruosteen (Melampsora pinitorqua) tiedetään levinneen pohjoisemmaksi (R. Jalkanen, henkilökohtainen tiedonanto). Niiden osalta ei ole tiedossa merkittäviä tuhoja 2010-luvulla, mutta ne ovat potentiaalisia taudinaiheuttajia suojametsäalueella ilmaston lämmetessä.
Lapissa männyn kylvötaimikoihin on ilmestynyt uusi merkittävä ongelma, punavyökariste (Dothistroma septosporum). Vaikka se tartuttaa normaalisti vain ylivuotisia neulasia, tauti on kuitenkin tuhonnut kokonaisia kylvötuppaita. Tauti näyttää jääneen vuosittain toistuvaksi riippumatta olosuhteista. Vaikka tauti tartuttaa kaikenkokoisia puita, tuhoisin se on hankirajan alapuolella. Punavyökaristeen tilanne Lapissa vaatii lisäselvityksiä (R. Jalkanen, henkilökohtainen tiedonanto, 28.2.2022).
Tunturimittari (Epirrita autumnata) ja hallamittari (Operophthera brumata) aiheuttavat joukkoesiintymistensä yhteydessä merkittäviä tuhoja Lapin tunturikoivikoissa (Kopisto 2008; Santonen 2011). Tunturimittarin munien tiedetään kestävän jopa –36 °C ja hallamittarin munat –35 °C lämpötiloja (Niemelä 1979), joten ilmastonmuutoksen myötä mahdollisesti nousevat talven minimilämpötilat voivat tulevaisuudessa lisätä tunturi- ja hallamittarin massaesiintymisten riskiä.
Hirvi (Alces alces) aiheuttaa männyn taimikoissa tuhoja syödessään männyn neulasia ja latvakasvaimia talvella. Sekä poro (Rangifer tarandus tarandus) että hirvi aiheuttavat jonkin verran tuhoja taimikoissa kelotessaan sarvinahkojaan (Jalkanen 2003). Hirvituhojen määrään vaikuttaa ennen kaikkea hirvikannan tiheys, mutta myös saatavilla olevien ravintoresurssien määrä (Nikula ym. 2021). Suojametsäalueen metsien uudistumisen kannalta hirvien ja porojen vaikutukset eivät liene kovinkaan merkittäviä.
Suojametsäalueella muita potentiaalisia tuhonaiheuttajia ovat ainakin ruskomäntypistiäinen (Neodiprion sertifer), pilkkumäntypistiäinen (Diprion pini), kuusentalvihome (Lophophacidium hyperboreum), mäntykoro (Lachnellula pini) ja lapinmyyrä (Microtus oeconomus). Lisäksi suojametsäalueen metsissä tuhoja voivat aiheuttaa abioottiset tekijät, kuten myrsky- ja lumituhot. Niiden osalta ei ole kuitenkaan havaittavissa merkittäviä ajankohtaisia uhkakuvia, sillä ilmastonmuutoksen aiheuttamat vaikutukset pohjoisessa luonnossa tulevat näkymään todennäköisesti tulevina vuosikymmeninä (Ruuhela ym. 2025). Kuivuuskaan ei liene merkittävä uhka, sillä toisin kuin muualla Euroopassa kasvukauden ilmaston ei Lapissa ole havaittu kuivuneen viime vuosikymmeninä (Treydte ym. 2023).
Metsien uudistumisen ja kasvun kannalta oleellisia lämpötilamuuttujia ovat mm. koko vuoden keskilämpötila, kesän keskilämpötila, lämpösumma, koko vuoden alimmat lämpötila-arvot sekä kasvuolosuhteiden äärevyyttä kuvaavat vuorokautisten lämpötilojen minimi- ja maksimiarvot kasvukauden aikana. Koko vuoden keskilämpötilojen osalta pisin aineisto suojametsäalueen kehityskulun tarkasteluun löytyy alueen välittömästä läheisyydestä Sodankylästä, jossa aineistoa on saatavilla jo vuodesta 1908 alkaen. Verrattuna aiempiin vuosikymmeniin ja koko 1900-luvun vuotuisiin keskilämpötiloihin, Sodankylän 2010-luvun vuoden keskilämpötilat ovat olleet korkeita (Ilmatieteen laitos 2021).
Koko vuoden keskilämpötilan lisäksi kesien keskilämpötilojen on useissa tutkimuksissa todettu lämmenneen Lapissa viime aikoina monissa eri paikoissa (mm. Rasmus ym. 2020). Myös edellisessä suojametsäalueen raportissa kootun tiedon perusteella tarkastelujakson todettiin olleen kahta edellistä kymmenvuotisjaksoa ja pitkän ajan keskiarvoa selvästi lämpimämpi, kesien olleen yhtä lämpimiä kuin lämpimällä 1930-luvulla ja lämpöolosuhteiden äärevyyden vähentyneen (Hyppönen ym. 2012a, 2012b).
Koko kasvukauden tehoisat lämpösummat ovat esimerkiksi Sodankylässä olleet 2010-luvulla korkeita. Mittaushistorian viidestä korkeimmasta lämpösummasta neljä on 2010-luvulta (Ilmatieteen laitos 2022b). Aikavälillä 1961–2018 Sodankylän tehoisan lämpösumman keskiarvo on ollut 884 d.d., mutta vuosina 2011, 2013, 2014 ja 2018 se oli välillä 1021–1156 d.d. Korkein mitattu lämpösumma vuodelta 2018 on siis lähes 31 % korkeampi kuin aikavälin 1961–2018 keskiarvo.
Koko vuoden minimilämpötilat ovat säilyneet 2010-luvulla jotakuinkin aiempien vuosikymmenten tasolla sekä Sodankylän Tähtelän että Kittilän Pokan aineistoissa (Ilmatieteen laitos 2022a, Kuva 8). Monien hyönteisten talvehtimisen kannalta minimilämpötilana pidetään –36 °C. Useimpina vuosina minimilämpötila alittaa sen molemmissa paikoissa. Yli –36 °C minimilämpötiloja on havaittavissa jo 1980-luvun loppupuolelta alkaen, eikä niiden esiintymisessä näy aineistossa merkittävää muutosta suuntaan tai toiseen.

Kuva 8. Vuotuiset minimilämpötilat Sodankylän Tähtelän (1960–2020) ja Kittilän Pokan (1972–2020) aineistoissa (Ilmatieteen laitos 2022a). Kuvaan lisätty monien hyönteisten talvikuolleisuuden raja–arvona pidettävä –36 °C.
Myöskään kasvukauden aikaisissa (kesä-, heinä- ja elokuu) vuorokauden minimilämpötiloissa tai kasvukauden aikaisten vuorokauden maksimilämpötilojen ja maksimi- ja minimilämpötilojen eroissa ei ole havaittu viitteitä ainakaan äärevämpään suuntaan. Kasvukauden aikaiset (kesä-, heinä- ja elokuu) vuorokauden minimilämpötilat ovat 2010-luvulla Sodankylän Tähtelässä alittaneet 0°C vain satunnaisesti (Ilmatieteen laitos 2022a, Kuva 9). Verrattuna aiempaan, 1960-luvulta alkavaan mittausajanjaksoon, viitteitä muutoksesta ainakaan äärevämpään suuntaan ei ole havaittavissa. Sama voidaan todeta myös kasvukauden aikaisten vuorokauden maksimilämpötilojen sekä maksimi- ja minimilämpötilojen eron suhteen. Tarkasteltaessa lämpötilojen jakaumia, voidaan havaita havaintoaineiston alimman sadanneksen, eli 1. persentiilin, olleen Sodankylän Tähtelässä kaudella 2011–2020 +0,4 °C, kun se kaudella 1960–2010 oli –1,7 °C.

Suojametsäalueen ja Pohjois-Suomen korkeiden alueiden metsän uudistumistuloksissa on Suomen metsäkeskuksen vuosilta 2015–2020 olevan tarkastusaineiston perusteella vain harvoissa tapauksissa huomautettavaa. Olosuhteet huomioiden uudistamistulokset ovat hyviä, eikä metsien uudistuminen ole uhattuna. Kuten ensimmäisessä suojametsäalueen tarkastelussa on todettu (Hyppönen ym. 2003), suuria muutoksia metsänuudistamisen tuloksissa suojametsäalueella ei liene odotettavissa, jollei ilmasto äkillisesti muutu. Tämä pätee edelleen, mutta tilannetta on tarpeen seurata edelleen aktiivisesti, sillä ilmastonmuutoksen myötä erilaisten taudinaiheuttajien ja tuholaisten massaesiintymisten riski kasvaa yleisesti (Ruosteenoja ym. 2016). Tämä kasvava riski koskee myös suojametsäalueita ja Pohjois-Suomen korkeita alueita, sillä ilmaston odotetaan lämpenevän pohjoisilla alueilla nopeammin kuin maapallolla keskimäärin (Ruosteenoja ja Jylhä 2021; Ruuhela ym. 2025).
Valtakunnan metsien inventoinnin tulosten mukaan suojametsäalueen metsät ovat taimettuneet paremmin kuin vuosikymmen aikaisemmin. Selkeimpänä ero näkyy kasvatettavien taimien runkoluvuissa, jossa 2020-luvun taitteen tilannetta kuvaavassa suojametsäalueen VMI13-aineistossa vain 11,6 % alitti metsänhoidon suositusten tyydyttävän taimimäärän rajan 1200 r/ha. Vastaava luku 2010-luvun taitetta kuvaavassa VMI11-aineistossa oli yli kolminkertainen, 37,7 %. Keskimääräisten runkolukujen välillä oli myös tilastollisesti merkitsevät erot inventointien välillä sekä suojametsäalueella että koko Lapissa. Tulosten pohjalta näyttää siis siltä, että suojametsäalueella taimikoiden keskimääräinen kasvatettavan puuston runkoluku on kohonnut 2010-luvun vaihteesta 2020-luvun vaihteeseen siirryttäessä ja että tyydyttävän uudistamistuloksen rajan alittavien kohteiden määrä on pienentynyt erityisesti suojametsäalueella. Myös nuoren metsän pituuskehityksen tai metsänhoidollisen laadun valossa suojametsäalueen metsiköt ovat 2020-luvun taitteessa joko samalla tai lievästi paremmalla tasolla kuin 2010-luvun taitteessa. Sen sijaan koko Lapin aineiston osalta tulos viittaa siihen, että keskimääräinen runkoluku olisi hieman laskenut.
Metsänuudistamistutkimusten tulokset viittaavat metsänuudistumisen onnistuvan Lapissa suojametsäalueen läheisyydessä nykyisellään hyvin, mikäli valitaan kasvupaikalle sopivat uudistamistoimenpiteet. Aiemminkin havaittu äärevistä olosuhteista johtuva suuri vaihtelu uudistumistuloksissa koskee edelleenkin suojametsäaluetta (Hallikainen ym. 2004). Lisäksi on huomattava, että käytettävissä olevat aineistot kattavat vain osia suojametsäalueesta (Taulukko 1). Näistä syistä johtuen varmuusperiaatteen noudattaminen on suojametsäalueella edelleenkin tarpeen.
Suojametsäalueen havupuutaimikoissa ei ole 2010-luvulla havaittu samankaltaisia luonnontuhoja kuin tunturimittarin tunturikoivikoissa 1960-luvulla aiheuttamat metsäkuolemat, joten suojametsäalueen taimikot näyttävät sopeutuneen vallitseviin ankariin olosuhteisiin (Hyppönen ym. 2003). Viimeisen vuosikymmenen aikana suojametsäalueen ilmasto-oloissa ei myöskään ole havaittavissa äärevyyden lisääntymistä, ilmaston lämpenemistä kylläkin (Ruuhela ym. 2025).
Säädösten mukaan suojametsäalueen uudistaminen voi perustua luontaiseen uudistamiseen, kylvöön, istutukseen tai niiden yhdistelmään. Metsänuudistamistutkimusten tulosten mukaisesti maanmuokkauksen tarpeellisuutta on edelleen tarpeen korostaa. Myös maanmuokkauksen ja hyvien siemenvuosien välinen yhteys on tärkeää pitää mielessä riittävän taimiaineksen saavuttamiseksi. Hyviä siemensatoja on pohjoisessa harvoin, vain noin kerran kymmenessä vuodessa, mutta toisaalta pohjoisessa muokkausjälkikin säilyy auki jopa noin vuosikymmenen ajan (Hyppönen ja Kemppe 2001). Toisaalta metsänhoitosuositusten mukaiseen taimikon tavoitetiheyteen voidaan sopivissa olosuhteissa, esimerkiksi kuivahkojen kankaiden kohdalla päästä myös jo sillä, että harvennetaan puusto harvaksi tai tehdään maankäsittely.
Keinolliset ja luontaiset metsänuudistamismenetelmät täydentävät hyvin toinen toisiaan; luontainen uudistaminen täydentää viljelytulosta ja toisaalta viljely varmistaa harvoin toistuvista ja niukoista siemenvuosista johtuvaa epävarmaa ja hidasta luontaista uudistamista. Keinollisten ja luontaisten uudistamismenetelmien yhdistelmän käyttö on edelleenkin perusteltua suojametsäalueella ja Pohjois-Suomen korkeilla alueilla, sillä olosuhteet alueella ovat edelleenkin äärevät, ja uudistumistuloksiin liittyy aina epävarmuutta.
Loppupäätelmänä voidaan todeta, että metsien uudistuminen suojametsäalueella on 2010-luvulla onnistunut pääasiassa hyvin. Mitään erityisiä uhkatekijöitä ei tällä hetkellä ole näköpiirissä, mutta tilannetta on tarpeen seurata jatkossakin etenkin tautien ja tuholaisten varalta, koska leutojen talvien ja lämpimien kesien yleistyessä olosuhteet taudeille ja tuholaisille ovat otolliset.
Tutkimuksen rahoitti Luonnonvarakeskus (Luke) sekä Suomen Strategisen tutkimuksen neuvoston (STN) rahoittama REBOUND -hanke (päätösnumerot 358482 ja 358497).
Vesa Nivala (Luke) teki kartan suojametsäalueista ja korkeilla alueilla sijaitsevista metsistä (Kuva 1).
Hallikainen V, Hyppönen M, Jalkanen R, Mäkitalo K (2004) Metsänviljelyn onnistuminen Lapin yksityismetsissä vuosina 1984–1995. Metsätieteen aikakauskirja 1/2004: 3–20. https://doi.org/10.14214/ma.6078.
Hallikainen V, Hyppönen M, Hyvönen J, Niemelä J (2007) Establishment and height development of harvested and naturally regenerated Scots pine near the timberline in North-East Finnish Lapland. Silva Fenn 41: 71–88. https://doi.org/10.14214/sf.308.
Hallikainen V, Hökkä H, Hyppönen M, Rautio P, Valkonen S (2019) Natural regeneration after gap cutting in Scots pine stands in northern Finland. Scand J Forest Res 34: 115–125. https://doi.org/1 0.1080/02827581.2018.1557248.
Hallikainen V, Hökkä H, Hyppönen M, Rautio P, Valkonen S (2020a) Männyn luontainen uudistuminen pienaukkohakkuun jälkeen Lapissa. Julkaisussa: Rautio P, Repola J, Salminen H, Ilola H (toim) Kestävää metsätaloutta kairoilla. Acta Lapponica Fenniae 29: 23–38.
Hallikainen V, Karjalainen J, Kyrö MJ, Hyppönen M, Rautio P (2020b) Metsikön harventamisen ja maankäsittelyn vaikutus männiköiden luontaiseen uudistumiseen ja taimien kasvuun Lapissa. Julkaisussa: Rautio,P, Repola J, Salminen H, Ilola H (toim) Kestävää metsätaloutta kairoilla. Acta Lapponica Fenniae 29: 10–22.
Hyppönen M, Hallikainen V (2011) Factors affecting the success of autumn direct seeding of Pinus sylvestris L. in Finnish Lapland. Scand J Forest Res 26: 515–529. https://doi.org/10.1080/02827581.2011.586952.
Hyppönen M, Kemppe T (2001) Maanmuokkauksen ja kylvön vaikutus mäntysiemenpuualan taimettumiseen Etelä-Lapissa. Metsätieteen aikakauskirja 1/2002: 19–27. https://doi.org/10.14214/ma.6542.
Hyppönen M, Varmola M, Juntunen V, Lohi T, Mikkola K, Mäkitalo K, Timonen M (2003) Metsien uudistuminen suojametsäalueella. Metsätieteen aikakauskirja 1/2003: 31–45. https://doi.org/10.14214/ma.6671.
Hyppönen M, Alenius V, Valkonen S (2005) Models for the establishment and height development of naturally regenerated Pinus sylvestris in Finnish Lapland. Scand J Forest Res 20: 374–357. https://doi.org/10.1080/02827580510036391.
Hyppönen M, Jalkanen R, Mikkola K, Varmola M (2012a) Metsäntutkimuslaitoksen selvitys suojametsäalueen metsien ja korkeiden alueiden uudistumisen tuloksesta maa- ja metsätalousministeriölle.
Hyppönen M, Varmola M, Mikkola K, Jalkanen R (2012b) Metsien uudistuminen suojametsäalueella ja Pohjois-Suomen korkeilla mailla. Metsätieteen aikakauskirja 3/2012: 195–199. https://doi.org/10.14214/ma.6744.
Ilmatieteen laitos (2021) Lämpötila- ja sadetilastoja vuodesta 1961. https://www.ilmatieteenlaitos.fi/tilastoja-vuodesta-1961.
Ilmatieteen laitos (2022a) Havaintojen lataus. https://www.ilmatieteenlaitos.fi/havaintojen-lataus.
Ilmatieteen laitos (2022b) Viisi ylintä kasvukauden lämpösummaa 1961–2018. https://www.ilmatieteenlaitos.fi/terminen-kasvukausi.
Jalkanen R (1989) Lapin metsäpatologiset ongelmat. Julkaisussa: Saastamoinen O, Varmola M (toim) Lapin metsäkirja. Acta Lapponiva Fenniae 15: 32–47.
Jalkanen R (2003) Havupuutaimikoiden tuhojen esiintyminen ja merkittävyys Suomessa Metsätieteen aikakauskirja 1/2003: 59–68. https://doi.org/10.14214/ma.6674.
Jalkanen R (2018) Aggressiivinen tervasroso tartuttaa jo polvenkorkuisia taimia. Julkaisussa: Jalkanen R (toim) Metsän uudistaminen Pohjois-Suomen erityisolosuhteissa. Suomen Metsätieteellisen Seuran Metsänhoitoklubin retkeily eteläiseen Lappiin 30.–31.8.2018. Retkeilymoniste, s. 55. https://urn.fi/URN:NBN:fi-fe2018090334535.
Kopisto L, Virtanen T, Pekkanen K, Mikkola K, Kauhanen H (2008) Tunturimittarituhotutkimus Käsivarren alueella 2004–2007. Metlan työraportteja 76. https://urn.fi/URN:ISBN:978-951-40-2090-2.
Korhonen KT (toim) (2009) VMI11 maastotyöohje 2009. Koko Suomi. Metsäntutkimuslaitos, Vantaa. https://urn.fi/URN:NBN:fi-fe201603038534.
Korhonen KT, Ahola A, Heikkinen J, Henttonen HM, Hotanen J-P, Ihalainen A, Melin M, Pitkänen J, Räty M, Sirviö M, Strandström M (2021) Forests of Finland 2014–2018 and their development 1921–2018. Silva Fenn 55, article id 10662. https://doi.org/10.14214/sf.10662.
Metsälaki (1996) 1093/1996. https://www.finlex.fi/fi/lainsaadanto/1996/1093.
Miettinen J, Hallikainen V, Valkonen S, Hökkä H, Hyppönen M, Rautio P (2024) Natural regeneration and early development of Scots pine seedlings after gap cutting in northern Finland, Scand JForest Res 39: 89–100. https://doi.org/10.1080/02827581.2024.2303022.
Niemelä M (2016) Taimikon perkauksen ja ensiharvennuksen vaikutukset tervasrosoisten puiden määrään. Opinnäytetyö, Lapin ammattikorkeakoulu. https://urn.fi/URN:NBN:fi:amk-2016053010702.
Niemelä P (1979) Topographical delimitation of Oporinia-damages: experimental evidence of the effect of winter temperature. Reports from the Kevo Subarctic Research Station, Finland 15: 33–36.
Nikula A, Matala J, Hallikainen V, Pusenius J, Ihalainen A, Kukko T, Korhonen KT (2021) Modelling the effect of moose Alces alces population density and regional forest structure on the amount of damage in forest seedling stands. Pest Manag Sci 77: 620–627. https://doi.org/10.1002/ps.6081.
Rasmus S, Turunen S, Luomaranta A, Kivinen S, Jylhä K, Räihä J (2020) Climate change and reindeer management in Finland: co-analysis of practitioner knowledge and meteorological data for better adaptation. Sci Total Environ 710, article id 136229. https://doi.org/10.1016/j.scitotenv.2019.136229.
Rautio P, Hallikainen V, Valkonen S, Karjalainen J, Puttonen P, Bergsten U, Winsa H, Hyppönen M (2023) Manipulating overstory density and mineral soil exposure for optimal natural regeneration of Scots pine. Forest Ecol Manage 539, article id 120996. https://doi.org/10.1016/j.foreco.2023.120996.
Ruosteenoja K, Jylhä K (2021) Projected climate change in Finland during the 21st century calculated from CMIP6 model simulations. Geophysica 56: 39–69. https://www.geophysica.fi/article/id-56-3-ruosteenoja/.
Ruosteenoja K, Räisänen J, Venäläinen A, Kämäräinen M (2016) Projections for the duration and degree days of the thermal growing season in Europe derived from CMIP5 model output. Int J Climatol 36: 3039–3055. https://doi.org/10.1002/joc.4535.
Ruuhela R, Pirinen P, Lehtonen I, Lakkala K, Räisänen P, Rantanen M, Virman M, Aalto J, Luhtala S, Kivi R, Karppinen T (2025) Ilmastonmuutos Lapissa – tietoja Lapin ilmasto- ja energiastrategiaan. Ilmatieteen laitos, Raportteja 2025:3. https://doi.org/10.35614/isbn.9789523362062.
Santonen T (2011) Mittarituhot pohjoisen Utsjoen alueella ja sen vaikutukset alueen kasvillisuuteen ja poronhoitoon. Opinnäytetyö, Jyväskylän ammattikorkeakoulu. https://urn.fi/URN:NBN:fi:amk-2012092113804.
Tomppo E, Katila M, Mäkisara K, Peräsaari J (2014) The Multi-source National Forest Inventory of Finland – methods and results 2011. Metlan työraportteja 319. https://urn.fi/URN:ISBN:978-951-40-2516-7.
Treydte K, Liu L, Padrón RS et al. (2024) Recent human-induced atmospheric drying across Europe unprecedented in the last 400 years. Nat Geosci 17: 58–65. https://doi.org/10.1038/s41561-023-01335-8.
Valtioneuvoston päätös suojametsistä (1998) 884/1998. https://www.finlex.fi/fi/lainsaadanto/1998/844.
Varmola M, Hyppönen M, Juntunen V, Lohi T, Mikkola K, Mäkitalo K, Timonen M (2001) Suojametsäalueen metsien uudistuminen. Metsäntutkimuslaitos. Rovaniemen tutkimusaseman raportti 13.12.2001.
Varmola M, Hyppönen M, Mäkitalo K, Mikkola K, Timonen M (2004) Forest management and regeneration success in protection forests near the timberline in Finnish Lapland. Scand J Forest Res 19: 424–441. https://doi.org/10.1080/02827580410030154.
Äijälä O, Koistinen A, Sved J, Vanhatalo K, Väisänen P (toim) (2019) Metsänhoidon suositukset. Tapion julkaisuja. ISBN 978-952-5632-75-0.
37 viitettä.